
Published: May 2023
A new long-term study provides important new insights into covid vaccine injuries.
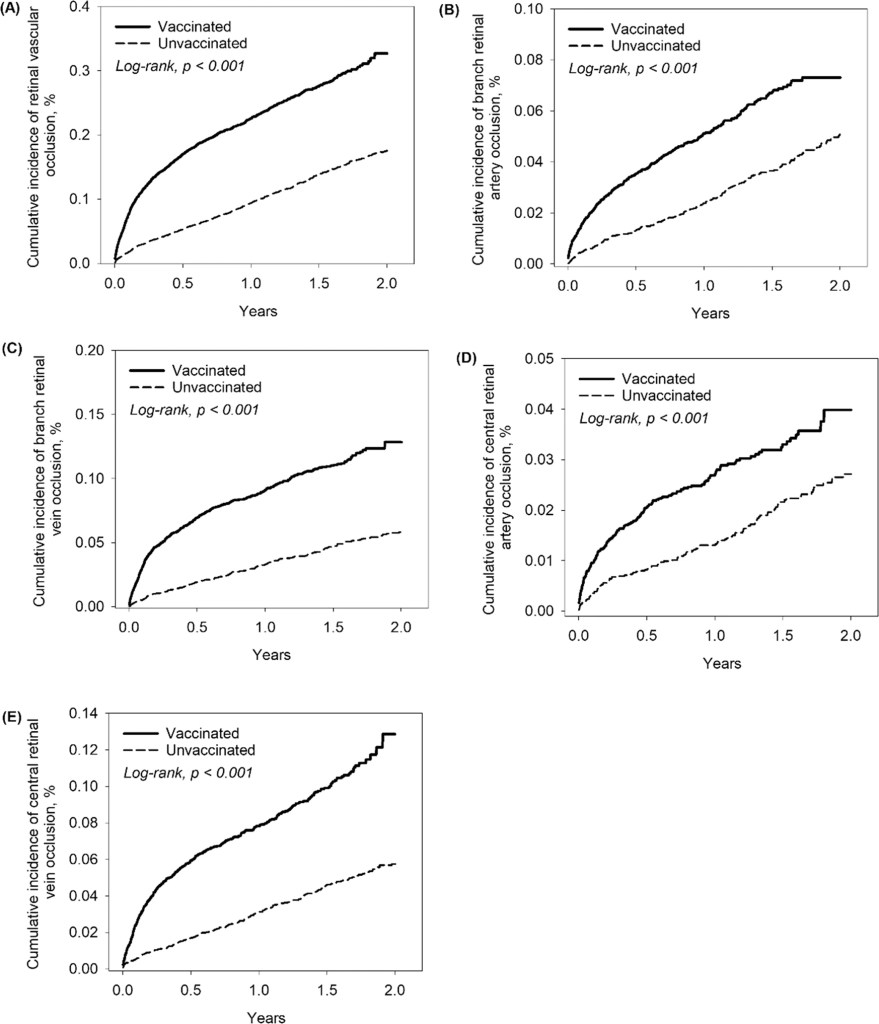
A new Taiwanese-American study, published in NPJ Vaccines, investigated the risk of retinal vascular occlusion – typically caused by blood clots in the tiny blood vessels of the eye – among almost one million Americans during two years after covid vaccination.
Retinal vascular occlusion (RVO) is a potentially serious condition that can lead to bleeding in the eye, blurred vision, transient loss of vision, or even permanent blindness.
The new study included primarily people who had received the Pfizer or Moderna mRNA vaccines. The study didn’t include enough people who had received the Janssen (J&J) vaccine to draw firm conclusions, while the AstraZeneca vaccine wasn’t used in the United States.
In terms of results, the study provides both good news and bad news.
The bad news is that mRNA vaccination significantly increased the risk of retinal vascular occlusion. In fact, over two years, the risk was doubled in vaccinated people, compared to unvaccinated people, from about 1 in 1,000 people (0.1%) to about 1 in 500 people (0.2%).
Overall, about 1 in 1,000 people suffered an unexpected RVO after mRNA vaccination. In people 18 to 64 years old, about 1 in 3,000 people were affected, while in people over 65, a whopping 1 in 400 people were affected. In the latter group, the two-year risk increased from 0.2% to 0.5%.
The good news is that the increase in risk seems to have been limited mostly to the first three months after vaccination (see chart below). Thereafter, the risk seems to have no longer increased (with the exception of one sub-diagnosis, which was not significant, though).
If this is indeed true, it would reduce, but not yet eliminate, the likelihood of the dreaded worst-case scenario: that is, widespread hidden cardiovascular injuries after covid vaccination. As previously shown by SPR, covid vaccines killed about one in 100,000 people within one month, mostly via cardiac arrest, but there is not yet any evidence vaccination has increased long-term mortality.
While the study couldn’t draw conclusions concerning the AstraZeneca and Janssen vaccines, the authors state that “a trend was noted that the risk is more pronounced following immunization with (the Janssen vaccine)”. This is consistent with previous studies on post-vaccination thrombosis.
One important caveat is that the study excluded anyone who had a documented covid infection before or during the study period. Since covid itself was a major risk factor for thrombosis and death, and vaccination reduced the risk of severe covid, most senior citizens, but not young and healthy people, were still better off taking the experimental covid vaccine. Indeed, in senior citizens outside of nursing homes, the covid death rate prior to vaccination was about 1% to 5%.
Does the evidence of eye issues after covid vaccination come as a surprise? Absolutely not: already in the spring of 2021, Swiss Policy Research flagged and described this as a major and rather frequent adverse event (section F), based on numerous documented cases in government reporting systems and on social media platforms (which were by far the fastest “reporting systems”).
What is more, Israeli-American researcher Josh Guetzkow notes that the US CDC’s own VAERS safety signal analysis had identified this exact adverse event, but the CDC decided to suppress the analysis and had to release it only in January 2023, in response to a FOIA request by journalists.
In addition, a risk rate of 1 in 1,000 vaccinated people, or even 1 in 400 vaccinated people over 65 years, means that this particular adverse event should already have been reported during the large clinical vaccine trials in 2020 – but it wasn’t. This is further evidence that vaccine manufacturers appear to have suppressed some adverse events or classified them as “unrelated”.
One may also wonder who exactly decided to flood social media platforms with nonsense of “magnetic arms”, “microchips” and “graphene” in a rather obvious attempt to muddy the waters, discredit serious reports of actual vaccine injuries, and justify social media censorship.
One of the most prominent people affected by post-vaccination eye issues might have been none other than the current German health minister, Dr. Karl Lauterbach, also known as The Karlatan (pictured above). Lauterbach received and praised the AstraZeneca vaccine on 7 April 2021. Just three weeks later, Lauterbach had to cancel all of his public appearances due to unplanned eye surgery. He returned only a few weeks later and never explained what had happened. 👀
Despite this, and despite a letter from another German politician warning him of “severe and very severe” adverse events in the wake of the German booster vaccination campaign, Dr. Lauterbach tried to push through, in early 2022, a law that would have made covid vaccination mandatory.
Luckily, he failed.
You have been reading:
Covid Vaccine Injuries: In the Eye of the Storm?
An analysis by Swiss Policy Research.
100% bot-free content.
Study
- Risk assessment of retinal vascular occlusion after COVID-19 vaccination (Li et al., 2023)
Chart
Cumulative risk of retinal vascular occlusion (A) and sub-diagnoses (B to E) after covid mRNA vaccination over a two-year period.

